Spánek a sladkosti
Když se nevyspíte, sníte víc sladkého. Není to ale proto, že byste na něj měli větší chuť.
Ať už si to uvědomujeme, nebo ne - nedostatek spánku nás nutí víc jíst.
Jedna věc je, že ve spánku se jí docela blbě. Druhá věc je, že za tím vším jsou i nějaké ty biologické kejkle - a ty, kupodivu, nesouvisí s chutí. Nebo alespoň ne tak, jak bychom si mysleli.
Jeden krásnej článek se zabýval tím, jestli akutní nevyspání zvyšuje naši chuť na sladké.
Ukázalo se, že ne. Když už, tak nedostatek spánku zvýší naši chuť na tučné (alespoň ve srovnání s tím, na co máme chuť normálně).
V tabulce dole vidíte, jak moc měli zkoumaní subjekti chuť na věci:
Vtip je v něčem jiném.
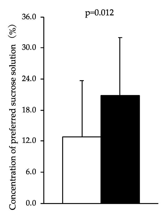
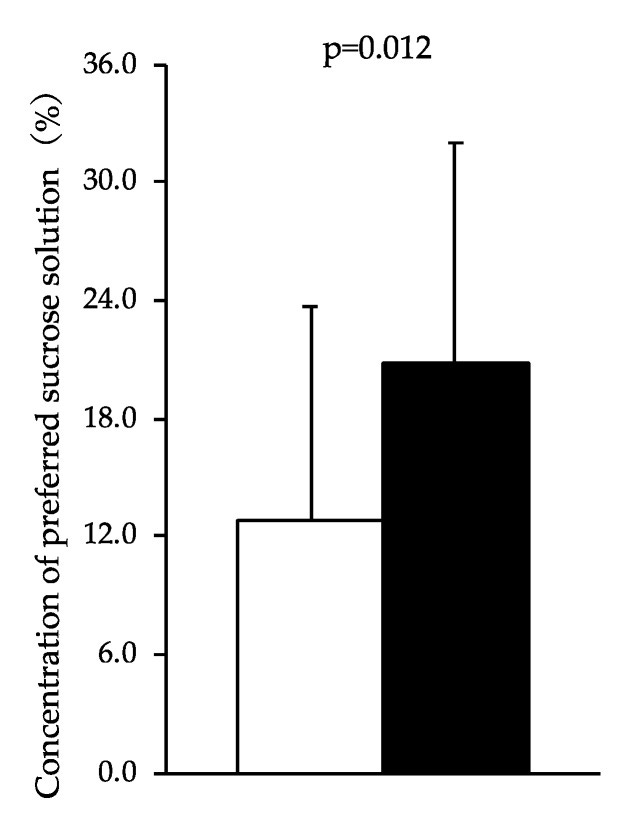
Když se velcí vědci jali zkoumat, jak moc bude nevyspaným lidem chutnat sladké, dostali se k tomu, že sladší věci jim chutnaly více.
Z toho se dá usoudit na jednu poměrně zábavnou věc — totiž, že když jsme nevyspaní, sladké nám chutná více, i když na něj přímo nepociťujeme chuť.
Z toho vyplývá, že uspokojit naši přirozenou chuť na sladké je těžší, když se nevyspíme.


